Все товары  /  Водоснабжение и водоотведение  /  Насосы и насосные станции  /  Фекальные насосы

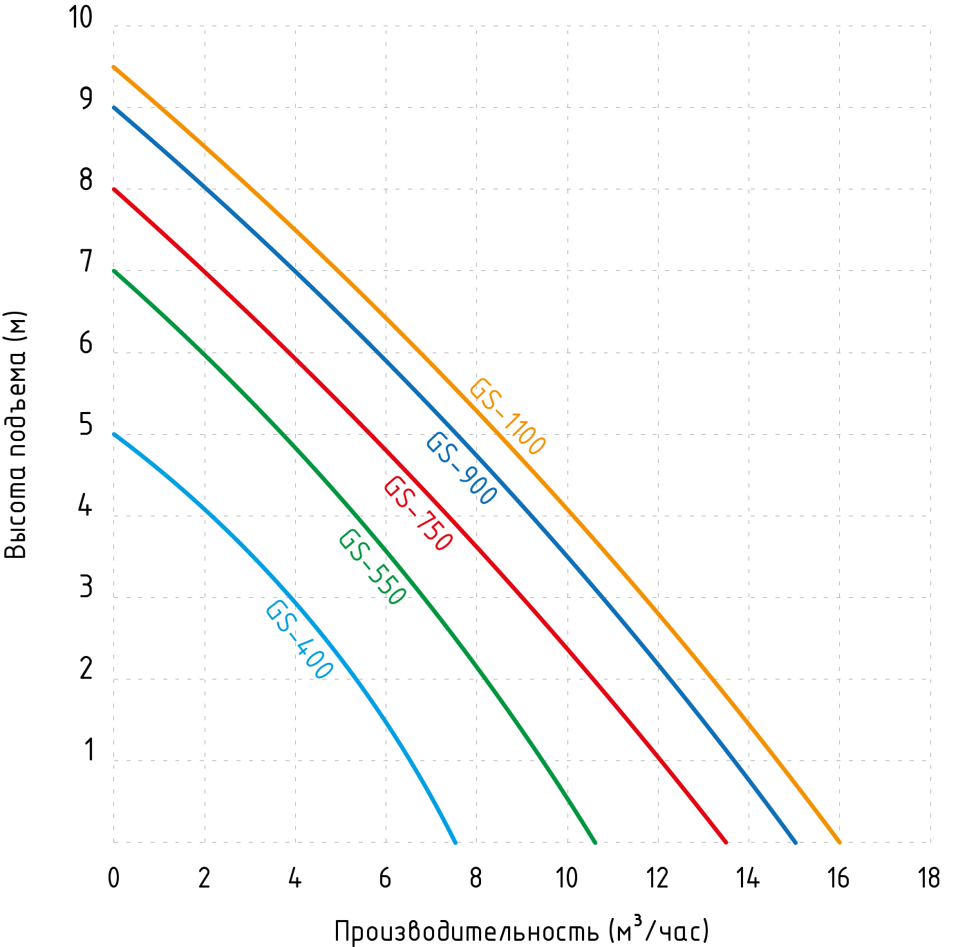
Насос фекальный JEMIX GS-750

Код товара: 234284
Данная товарная позиция отсутствует на складе. Мы подберем Вам товар с такими же характеристиками.

Основные характеристики
Тип погружной
Серия GS
Производительность 225 л/мин.
Максимальный напор 8 м
Глубина погружения 160 м
Напряжение 220 В
Мощность 0.75 кВт
Ширина 220 мм
Глубина 160 мм
Высота 335 мм
Вес (без упаковки) 5 кг
Страна-производитель Китай
Родина бренда Россия

Упаковка

Количество мест 1
Размеры 264x192x402 мм
Вес 6 кг
Описание

Фекальный насос JEMIX GS-750 предназначен для откачки воды с содержанием фракций ила или фекалий, откачки грунтовых вод из подвальных помещений, осушения небольших прудов и бассейнов, забора воды для полива из разных водоемов и перекачивания пресной воды из колодцев. Модель оснащена встроенным поплавковым выключателем. Корпус выполнен из пластика. 

В комплект поставки входит выходной патрубок.

Особенности:

  • Поплавковый выключатель включает и отключает насос в автоматическом режиме при изменении уровня воды 
  • Пусковой конденсатор необходим для начала вращения ротора электродвигателя
  • Тепловое реле в случае перегрева отключает электродвигатель 
  • Однофазный электродвигатель 

Дополнительные характеристики: 

  • Макс. производительность: 13,5 м3/час  
  • Макс. температура воды: 35 °С
  • Подключение шланга: 1, 1¼, 1½  дюйма
  • Диаметр всасываемых частиц: 35 мм
  • Длина кабеля: 8 м 

Внимание! На фото аналогичная модель другого размера. 

Внимание! Информация о товарах, размещенная на сайте, не является публичной офертой, определяемой положениями Части 2 Статьи 437 Гражданского кодекса Российской Федерации. Производители вправе вносить изменения в технические характеристики, внешний вид и комплектацию товаров без предварительного уведомления. Уточняйте характеристики у наших менеджеров перед оформлением заказа.
Анастасия, отдел качества
Анастасия
Отдел качества
15-16 сентября 2020 в рамках V РЭФ и
I ШЭФ прошла презентация
UNOX EVEREO с нашим участием
ENTERO - I Ресторанной маркетинг-конференции
ENTERO - официальный партнёр
I Ресторанной маркетинг-конференции
ENTERO - I Ресторанной маркетинг-конференции
ENTERO - официальный партнёр IV Ресторанного экономического форума
ENTERO - официальный партнёр IV Ресторанного экономического форума
Мы на передаче Дачный ответ,
эфир от 27.01.2019
ENTERO на передаче Дачный ответ, эфир от 27.01.2019
Магазин ENTERO - спонсор проекта Дачный ответ
ENTERO на передаче Дачный ответ, эфир от 15.02.2015
Магазин ENTERO на ТВ в программе Дачный ответ
ENTERO на передаче Дачный ответ, эфир от 19.10.2014
Магазин ENTERO на ТВ в программе Квартирный вопрос
ENTERO на передаче Квартирный вопрос, эфир от 20.11.2010
Распределение заказов, отправленных нами через ТК:
Деловые линии - 58.3%
Санкт-Петербург, Екатеринбург, Сочи, ...
ПЭК - 20.3%
Санкт-Петербург, Сочи, Екатеринбург, ...
КИТ - 3.3%
Астана, Атырау, Феодосия, ...
Желдорэкспедиция - 1.2%
Якутск, Владивосток, Находка, ...
Байкал-Сервис - 1.2%
Пятигорск, Санкт-Петербург, Анапа, ...
За прошедшие 5 дней отправлены заказы в города:
Великие Луки, Владивосток, Вологда, Иркутск, Киров, Краснодар, Красноярск, Мурманск, Новомосковск, Оренбург, Радужный, Санкт-Петербург, Сочи, Тольятти, Томск, Чита
Москва ул. Новгородская, д. 1
Call-центр работает 5, 6, 8, 9, 10 января.
Используйте корзину для заказа на сайте